Erhebliche, kontinuierliche und wiederkehrende Abweichung der Geschwindigkeit

Dieses Jahr feiern wir mit dir den Null Stress Friday und du kannst alles per Tarifwechsel oder Neubestellung selbst in der congstar App regeln 😎
Hier könnt ihr den Rabatt für euren Tarifwechsel vormerken.

Wenn du Unterstützung brauchst, haben wir hier im Forum verschiedene Sammelthreads für dich eingerichtet:
Sammelthread für Rechnungstarife
Sammelthread für Prepaid
Sammelthread für congstar Zuhause
Auch, wenn andere vor dir eine Antwort bekommen, warte bitte ~24 Stunden ab, bis du nochmal nachfragst.
Wir haben alle Anfragen auf dem Schirm und antworten so schnell wir können 🙏 Vielen Dank.
  • Guten Tag,
    die Downloadgeschwindigkeit war schon immer sehr unterschiedlich an meinem LTE Anschluss.
    Nachdem im Sommer immerhin zeitweilig 8, 10 oder sogar 15 Mbit verfügbar waren, ist seit September/Oktober praktisch kein auch nur annähernd nutzbarer Download mehr möglich.
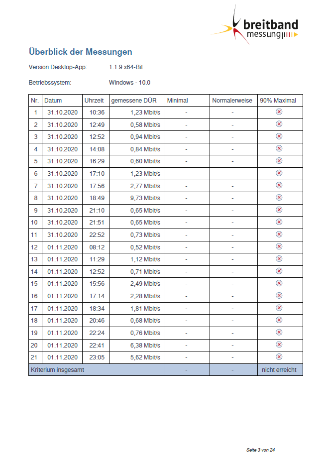
    Ich habe daher mit dem Programm der Bundesnetzagentur ein Mess-Kampagne durchgeführt mit dem beigefügen Ergebnis.

    Daraus kann man ersehen, dass die meiste Zeit noch nicht einmal 1 Mbit zur Verfügung stand.
    Teilweise konnte der Test nicht ausgeführt werden, weil er durch Timeout abgebrochen wurde.

    Ich habe vor einiger Zeit einem Nachbarn einen Congstar Anschluss empfohlen und da er nun dieselben unterirdischen Werte hat, stehe ich da, als jemand, der völligen Mist empfohlen hat. Das ist extrem peinlich.

    Da ich nicht mehr bereit bin, für diese Schlechtleistung zu bezahlen, möchte ich gern mein Geld zurück.
    Wie stelle ich das am besten an?

    Viele Grüße

    Chris Koppelmeier

  • Hallo @AufdemLand,

    für die Nutzungsadresse deines Homespots wird mit DSL (bis zu 16 Mbit/s) als verfügbar angezeigt. Wie Zyrous denke ich auch, dass die LTE Zelle überlastet ist. Da scheint wohl in den letzten Zeit von mehr Leuten ein Produkt wie der Homespot genutzt zu werden :( .

    Kommt eine Umstellung auf DSL für dich infrage? Hier findest du die verfügbaren DSL-Tarife. Das hat den Vorteil, dass es kein shared medium ist und die Bandbreite, die wir schalten können dann auch tatsächlich zur Verfügung steht.

    Gruß Max

  • Danke für den guten Rat.
    Aber ich wohne in einem Dorf mit 13 Einwohnern am Ende der Strasse.
    Hier gibt es kein DSL.
    Festnetzanschlüsse mittlerweile auch nicht mehr.
    Zum Thema Überlastung der LTE Zelle:
    Dies ist ein äußerst dünn besiedeltes Gebiet in Mecklenburg-Vorpommern.
    Die nächste größere Stadt (Neubrandenburg) ist über 20km entfernt.
    Hier wohnen überwiegend ältere bis sehr alte Leute, die, wenn sie überhaupt Internet nutzen, mit Sicherheit weder streamen, noch megagroße Files downloaden.
    Eine Überlastung der LTE Zelle ist also extrem unwahrscheinlich, jedenfalls nicht, weil auf einmal so viele neue Nutzer da sind.
    Das ist die Standard-Erklärung, wenn jemand sich über die Bandbreite beschwert.
    Ausserdem müssten es schon extrem viele Nutzer gleichzeitig sein, um am einzelnen Anschluss gerade mal 550 Kbit zur Verfügung zu stellen.
    Es ist offensichtlich so, dass die Nutzung der Zelle für Congstar Kunden stark eingeschränkt ist.
    Ein Nachbar hat die Telekom als Mobilfunkprovider und hat auf seinem Handy die volle Bandbreite, während er über seinen Congstar Router ebenso schlechte Werte hat wie ich.

    Ich bin einfach nur mal wieder extrem verärgert, dass es in diesem Land möglich ist, den Leuten eine Leistung für einen bestimmten Preis zu verkaufen und bei Nichterfüllung der Leistung nicht zur Wiedergutmachung verpflichtet zu sein.
    Aber warum sollte es auch in der Telekommunikationsbranche anders sein, als z.B. in der Autoindustrie?

    Dazu kommt, dass heutzutage sich die Firmen kommunikativ so abschotten, dass man gar keinen Ansprechpartner mehr hat.
    Funktioniert ja.

  • Den Ärger über die schlechte Verbindung verstehe ich :( . Eine feste Leistung können wir dir jedoch mit einem Tarif wie dem Homespot nicht garantieren.
    Mobile Tarife und stationäre Tarife scheinen netzseitig unterschiedlich behandelt zu werden; dein Homespot sollte aber grundsätzlich nicht langsamer als ein mobiler Tarif sein.

    Hast du versucht den Standort des Routers zu optimieren? Also die Ausrichtung in Haus/Wohnung in Richtung Sendeanlage? Manchmal macht das einen Unterschied.

  • 2020, willkommen in Deutschland...

    Ich vermute mal das hier der Telekom Kunde auf einer anderen Zelle sitzt als du und dein Nachbar. Eventuell würde eine andere Zelle Sinn machen, wenn du unbedingt LTE behalten willst...

    Wann hast du zuletzt einen DSL check gemacht? Es wäre besser der Empfehlung von Max zu folgen und sich damit zu Gefäßen.

  • Schlechte Verbindung ist ja etwas euphemistisch, wenn man mit etwas mehr als ISDN Geschwindigkeit surft.
    Der Router steht da schon immer und hat an dieser Stelle auch schon 15 Mbit geliefert.
    Warum sollte er dann auf einmal schlechteren Empfang haben?
    Ich kenne die Argumentation mit der nicht garantierten Leistung, aber de facto zahle ich jeden Monat praktisch für einen ISDN Anschluss 20 EUR.
    Eine technische Untersuchung und Erklärung des Phänomens ist offensichtlich nicht vorgesehen.
    Wie immer bleibt mir also nur die Wahl das zu akzeptieren oder zu kündigen.
    Da fühlt man sich richtig gut aufgehoben als Kunde.

  • Warum sollte er dann auf einmal schlechteren Empfang haben?

    Weil man es nicht ausschließen kann, das der Datenverkehr zugenommen hat. Geht auch bei Rentnern...

    Eine technische Untersuchung und Erklärung des Phänomens ist offensichtlich nicht vorgesehen.

    Da kann man nicht viel machen. Man könnte versuchen dich auf eine andere Zelle zu setzen (auf Kulanz), wenn das möglich ist.

    Alternativ bliebe noch DSL. Da hast du nichts zu verlieren.

  • Verstehe ich das richtig? Wenn der Datenverkehr zunimmt, kann auch der Empfang schlechter werden?
    Die Sendeleistung ist also proportional zum Datenvolumen?
    Interessant.
    Was mich derzeit mehr interessiert ist die Tatsache, warum das Produktdatenblatt für den Homespot Tarif nicht den Vorschriften der Transparenzverordnung entspricht.
    Dort ist vorgesehen, dass die minimale, maximale und normalerweise verfügbare Datenübertragungsraten angegeben werden.
    Tatsächlich wird aber nur der "geschätzte Maximalwert" von 50Mbit angegeben.
    Was ist aber der minimale und normalerweise verfügbare Wert, der für mich gilt?
    Ich bin gespannt, ob der minimale Wert bei 500 Kbit liegt, der bei mir vorliegt.
    Sieht so aus, als ob ich tatsächlich den Verbraucherschutz einschalten muss.